
Ejemplo: Cargo por lubricantes Costo Horario
Ejemplo: Para la Retro-excavadora cargadora Caterpillar modelo 416E calcular el cargo por lubricantes de la maquinaria con las siguientes características:
| Características | |
|---|---|
| Potencia nominal (PN) | 75 hp |
| Factor de Operación (Fo) | 80 % |
| Capacidad del carter | 7.6 lt |
| Factor de lubricante (Fa) | 0.00307 lt/hp |
| Precio lubricante (Pa) | $48.50 / lt |
| Tiempo cambio de lubricante | 150 hr |
Solución:
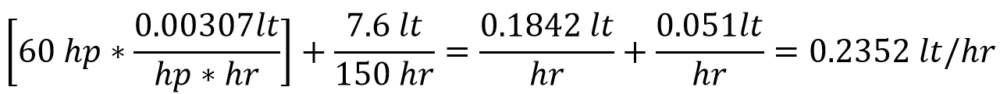
Potencia de operación: Po = PN * Fo = 75 hp * 80 % = 60 hp
Se considero que la maquinaria está trabajando al 80% de su capacidad
Cantidad de lubricante: Ah + Ga = Po * Fa + CC/Ca
![]()
Ah + Ga = 0.2352 lt/hr
Cargo por lubricante: Lb= (Ah + Ga) Pa
Lb= 0.2352 lt/hr * $ 48.50/lt = $ 11.41/hr
Lb= $ 11.41/hr
Para continuar regresa a CARGOS POR CONSUMOS

